Applies To
Excel for Microsoft 365 Excel for Microsoft 365 for Mac Excel for the web Excel 2024 Excel 2024 for Mac Excel 2021 Excel 2021 for Mac Excel 2019 Excel 2016 Microsoft Office Microsoft365.com

This article describes the formula syntax and usage of the SERIESSUM function in Microsoft Excel.

Description

Many functions can be approximated by a power series expansion.

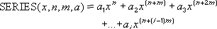
Returns the sum of a power series based on the formula:

Equation

Syntax

SERIESSUM(x, n, m, coefficients)

The SERIESSUM function syntax has the following arguments:

  • X    Required. The input value to the power series.

  • N    Required. The initial power to which you want to raise x.

  • M    Required. The step by which to increase n for each term in the series.

  • Coefficients    Required. A set of coefficients by which each successive power of x is multiplied. The number of values in coefficients determines the number of terms in the power series. For example, if there are three values in coefficients, then there will be three terms in the power series.

Remark

If any argument is nonnumeric, SERIESSUM returns the #VALUE! error value.

Example

Copy the example data in the following table, and paste it in cell A1 of a new Excel worksheet. For formulas to show results, select them, press F2, and then press Enter. If you need to, you can adjust the column widths to see all the data.

Data

Coefficients as numbers

Coefficients as formulae

0.785398163

=PI()/4

1

1

-0.5

=-1/FACT(2)

0.041666667

=1/FACT(4)

-0.001388889

=-1/FACT(6)

Formula

Description (Result)

Result

=SERIESSUM(A3,0,2,A4:A7)

Approximation to the cosine of Pi/4 radians, or 45 degrees (0.707103)

0.707103

Need more help?

Want more options?

Explore subscription benefits, browse training courses, learn how to secure your device, and more.