Applies To
Excel for Microsoft 365 Excel for Microsoft 365 for Mac Excel for the web Excel 2024 Excel 2024 for Mac Excel 2021 Excel 2021 for Mac Excel 2019 Excel 2016

This article describes the formula syntax and usage of the BINOM.DIST.RANGE  function in Microsoft Excel.

Description

Returns the probability of a trial result using a binomial distribution.

Syntax

BINOM.DIST.RANGE(trials,probability_s,number_s,[number_s2])

The BINOM.DIST.RANGE function syntax has the following arguments.

  • Trials    Required. The number of independent trials. Must be greater than or equal to 0.

  • Probability_s    Required. The probability of success in each trial. Must be greater than or equal to 0 and less than or equal to 1.

  • Number_s    Required. The number of successes in trials. Must be greater than or equal to 0 and less than or equal to Trials.

  • Number_s2    Optional. If provided, returns the probability that the number of successful trials will fall between Number_s and number_s2. Must be greater than or equal to Number_s and less than or equal to Trials.

Remarks

  • If any arguments are outside of their constraints, BINOM.DIST.RANGE returns the #NUM! error value.

  • If any arguments are non-numeric values, BINOM.DIST.RANGE returns the #VALUE! error value.

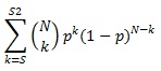
  • The following equation is used:BINOM.DIST.RANGE equation

  • In the equation above, N is Trials, p is Probability_s, s is Number_s, s2 is Number_s2, and k is the iteration variable.

  • Numeric arguments are truncated to integers.

Example

Copy the example data in the following table, and paste it in cell A1 of a new Excel worksheet. For formulas to show results, select them, press F2, and then press Enter. If you need to, you can adjust the column widths to see all the data.

Formula

Description

Result

=BINOM.DIST.RANGE(60,0.75,48)

Returns the binomial distribution based on the probability of 48 successes in 60 trials and a 75% probability of success (0.084, or 8.4%).

0.084

=BINOM.DIST.RANGE(60,0.75,45,50)

Returns the binomial distribution based on the probability of between 45 and 50 successes (inclusive) in 60 trials and a 75% probability of success (0.524, or 52.4%).

0.524

Top of Page

Need more help?

Want more options?

Explore subscription benefits, browse training courses, learn how to secure your device, and more.